Sulphur Springs 2025 Data Analysis
February 24, 2026
The evolution of a Canadian Classic
The 2025 Canadian ultramarathon season was bigger than ever, with 200+ races and over 15,000 finishers. But amidst this explosive growth, the Sulphur Springs Trail Run has managed something rare: it hasn’t just grown in size—it has fundamentally evolved in quality.
The Sulphur Springs trail system in Ancaster has housed this event for 33 years, making it the oldest running ultramarathon in Canada. The race features a 20K loop course on mainly groomed trails with some technical elements, and a not-insignificant amount of hills. Each loop of the Sulphur Springs 20km course has 500m of elevation gain.
From shattering decades-old course records to serving as an essential gateway to the legendary Western States 100, here is why my local ultra is still one of the most significant events in Canada. By analyzing the 2025 results alongside decades of historical data, we can see exactly how this race has transformed from a local gathering into a national powerhouse.
1. The Performance Surge
Trail and ultra running has had steady growth for over a decade, and Sulphur Springs is certainly a large part of that. Taking all the Canadian Ultra results listed on DUV (ultramarathon results platform), Sulphur Springs has grown alongside Canadian ultras.

When we compare Sulphur Springs to every other race in Canada using our DUV Results Database, its scale is undeniable.
- #4 in Canada for Total Finishers (723).
- #3 in Canada for Cumulative Distance (60,806 km covered).
- #1 in Canada for 100k and 100M participation.
This analysis focuses exclusively on these ultra distances (50k, 50M, 100k, and 100M) due to data accessibility, meaning the ranking doesn’t even account for the high participation in the sub-ultra events, which saw an additional 355 finishers in the 20k and 255 in the 10k.

When I sum up the distance that every finisher had for all the distances, Sulphur Springs moves up to 3rd largest ultra event in Canada.

National Ranking: Men
The Sulphur Springs men’s winners established themselves as national leaders in 2025:
- Alex Forte clocked a 3:23:02 50k, placing his time among the Top 5 fastest 50k finishes in Canada.
- Juan Zorrilla commanded the 50-Mile race in 7:36:46, securing the fastest 50M time of the year.
- Robert Brouillette secured the 100k win in 8:07:22, a time that ranked 2nd on the national leaderboard for 2025, and helped land him on Team Canada for the World 50km Championships in 2026.
- Paul Vanoostveen ran a blistering 14:38:23 in the 100-Miler, establishing himself as one of the elite long-distance performers in Canada, hinting towards to his eventual Burrito League dominance.

National Ranking: Women
The women’s field at Sulphur was equally deep, producing national-caliber performances across all distances:
- Tanis Bolton secured the 50k victory in 4:14:07, falling just outside of the top-5.
- Rina Atienza took the 50-Mile crown in 9:00:58, securing the #2 spot in the national rankings.
- Karen Holland won the 100k in 9:55:14, for the third fastest 100k in 2025.
- Molly Hurford dominated the 100-Miler in 17:22:53, placing her firmly at the top of the women, and faster than all but two men for 2025 across Canada.

All of these amazing times were done on a course few would choose to run a fast time. It’s all gravel trail, some technical elements, and more than enough elevation gain to ward off a pure speed race. Each loop of the Sulphur Springs 20km course has 500m of elevation gain. To try to accurately reflect that let’s recalculate these times by normalizing for elevation gain with Grade Adjusted Pace.
Grade Adjusted Pace (GAP)
Comparing Grade Adjusted Pace (GAP) to actual pace reveals how the terrain uniquely impacts the field, and how the top performers manage their effort across the climbs and descents. GAP estimates what an athlete’s pace would be on flat ground, accounting for the extra energy required to run uphill and the reduced effort on downhills.
I’ve taken the GAP listed for every runner with a Strava race file. Strava uses a heart-rate equivalency model — a great walkthrough of the approach is in Aaron Schroeder’s GAP analysis. Effectively everyone looks a little faster, but especially those that had a lot of elevation like at Sulphur Springs.

Applying the same model to the women’s field, we can see just how intense the adjusted efforts are at the front of the pack, showing that the Ancaster hills require an energy output equal to much faster paces on flat courses.

2. The fastest 100 Mile in Canada?
Sulphur Springs doesn’t just produce fast times occasionally—it has consistently dominated the national leaderboard for over 15 years, particularly in 100M distance.
This “Top 10 Density” analysis tracks how many of the fastest 10 times in Canada each year come from Sulphur Springs. For the men’s 100M, Sulphur Springs has placed an average of 4 runners in the national Top 10 each year since 2010, peaking at 9 out of 10 in both 2013 and 2025. For the women’s 100M, the average is nearly 4 per year, reaching 8 out of 10 in 2025.

Taking all 100M results in Canada since 2010 (chosen due to issues getting data earlier), we see that Sulphur is consistently the top 100M in the nation.

One of the reasons for this is the relatively low elevation gain compared to other 100-mile races in Canada. We can see this by comparing the elevation gain and the winning times of all the 100-mile races in Canada in 2025.

This trend validates Sulphur Springs as the definitive performance anchor for the country. If you want to run a fast Canadian ultra in spite of hills, you come to Ancaster in May.
3. Comparing performances and distances at Sulphur
It’s a tricky proposition to compare times from trail races. Even running in the same location, on the same weekend, it’s hard to compare a 20km to a 100M. One is 8 times as far and often takes 12 times as long to finish. There are a few metrics used in our sport to handle these comparisons, and the one that is most broadly applied for Sulphur Springs is the UTMB Index. It uses a private formula that includes features like course difficulty (distance and elevation) and the runner’s finishing time. By comparing the UTMB Index we can get an estimate of the most impressive performances at Sulphur Springs.
The Top 10 Breakdown
Looking at just the most recent years when the Index was most readily applied we can rank the top scores. At a glance these tell us which events have seen the highest competition in each gender and who had the most impressive performances.

While the 50k has produced the best individual and group performances for the men, the 100M and 20k take more of a center stage for the women.
Course Records
This talent naturally leads to shattered records. Comparing the progression of course records over time, the impact of this new competitive era is striking, with many of the records being updated in the past few years.

I wanted to look at which of these course records was the most difficult to beat by comparing the top UTMB Index for each event. I wasn’t surprised to see Alex and Amanda on top, but as I examined the rest I noticed one of the quirks of using the Index.

The UTMB Index ranks performances based on field quality and race conditions, not solely on finish time. In two cases, the highest UTMB Index doesn’t belong to the actual course record holder: Allison Thompson holds the Women’s 20k CR (1:29:26, 2022) but Tanis Bolton achieved a higher UTMB Index (664 vs 656) in 2024, and Robert Brouillette holds the Men’s 100k CR (8:07:22, 2025) but Elias Kibreab posted a higher UTMB Index (735 vs 729) in 2023.
How Deep is the Depth? - Race Competitiveness Index
Using the UTMB Index, I calculated the Race Competitiveness Index (RCI) for Sulphur Springs over the years. This metric, pioneered by Travis Loncar at Freetrail, calculates the field structure by taking the top finishers, averaging their UTMB Index score, and subtracting by a standard deviation.
The results show a clear upward trajectory in the 100k and 100M, while remaining relatively flat for the already highly competitive 20k and 50k. The depth of competition is increasing, meaning it requires a higher and higher UTMB Index to finish in the top 10.

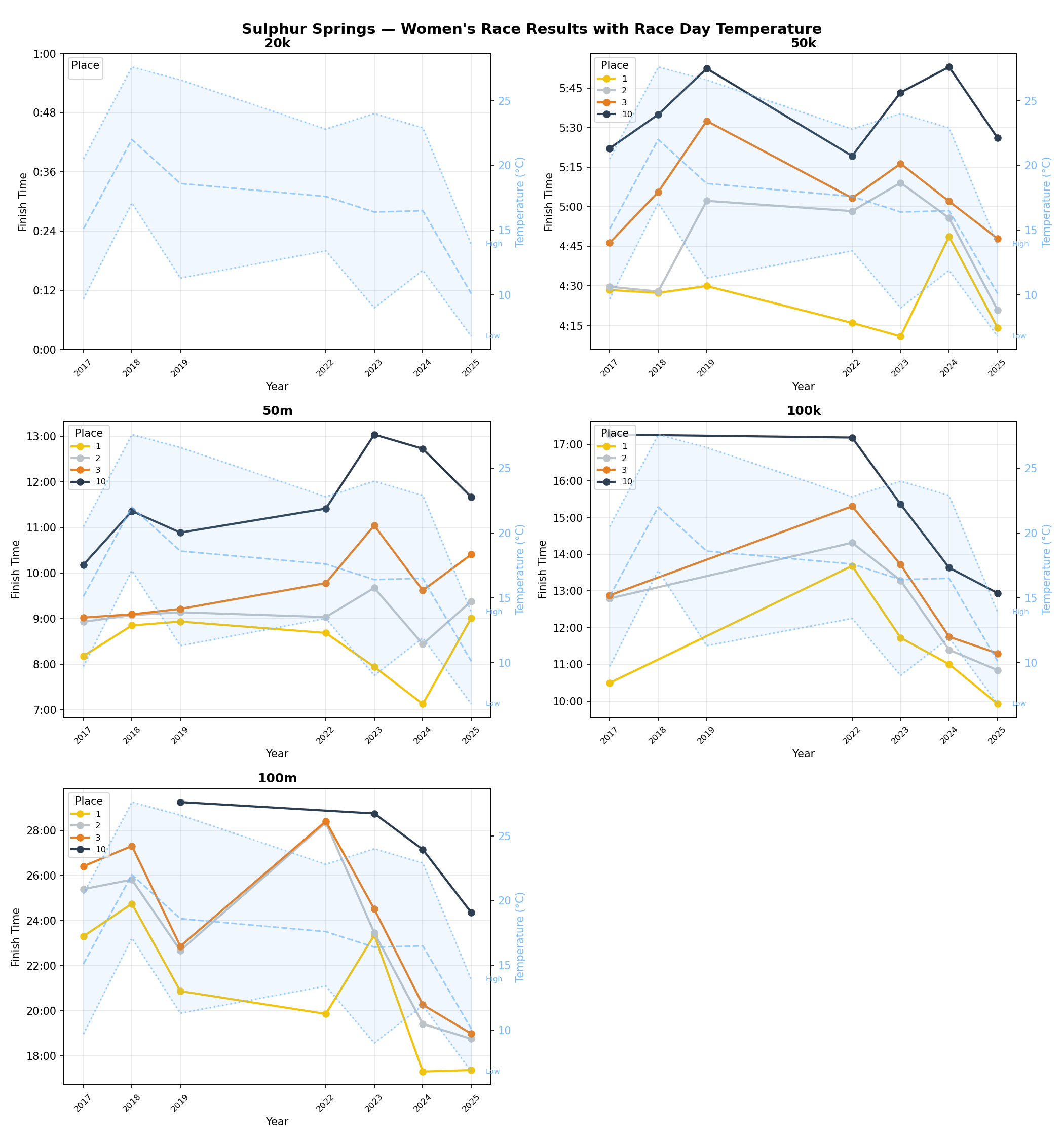
Finish Time Distributions
Looking at the distribution of finish times by placement highlights the density of the competitive field.


The men’s and women’s times have gotten faster in the past 3 years. This correlates with a drop in race temperature, but due to the increase in RCI over the same period, it looks like there is a significant increase in talent showing up for the races.
4. Masterclass in Consistency: How the Winners Won
Another way we can look at how competitive the races are is by looking at how perfect the execution had to be in them, and how much the positions changed during the race. The more competitive the races become, the more important it becomes to run as optimally as possible, with minimal pacing errors.
The Mathematics of Slowing Down
To quantify this consistency, I ran a linear slope analysis on every runner’s lap paces from 2022 to 2025 to see exactly what percentage they “slowed down” from their first lap to their last.
The results highlight a massive disparity between the winners and the rest of the field:
- 50k Winners are pacing masters, only slowing down by 1% to 3% over the entire race (compared to a 22% to 37% slowdown for the field average).
- 100M Winners slow down by roughly 37% to 55%, but the rest of the 100-mile field degrades by a brutal 65% to 77%.
- I even found a rare negative split in our dataset—Mike Fickel managed a -7% pace acceleration in his 2022 100k victory.

Generally we see higher slow downs as the races get longer and the race becomes less about metabolic efficiency, and more about mechanical breaking down.
Gender Differences in Execution
When we compare the average slowdown of the Top 3 of both genders directly against each other, they act remarkably similar. Just the 50M as a standout difference, possibly due to the historically weaker competition depth in that race.

The Carnage Factor
“Carnage/Rally Charts” (an idea from John Sugden’s substack Over the Ridgeline) show how many places changed at each lap split. In the chart below tracking the overall Top 10 Finishers, lines that drop indicate runners who went out too hard and lost multiple places late in the race, while others started more conservative and moved into the Top 10 late in the race.

The takeaway is that the race is getting competitive enough that placing well is no longer just about being the fittest; you have to be smart with your pacing plan as well.
5. Scale & National Impact
The 2025 Circuit at a Glance
When I mapped the entire Canadian season, it becomes clear that Sulphur Springs isn’t just one race among many—it is the best option for the early season. In the visual metrics below, I use marker sizes that are scaled to the total number of finishers for each event, demonstrating the massive footprint Sulphur Springs holds at this time of the year.

6. The Western States Gateway
Perhaps the most significant shift in recent years was Sulphur Springs becoming an official Western States 100 Qualifier in 2024. The impact on participation in the “long” distances (100k and 100M) was immediate and massive.
The Qualifier Surge
Since joining the WS circuit, the number of finishers aiming for a qualifier spot has skyrocketed, turning the event into a high-stakes arena for runners across the continent.

This shift isn’t just numerical; it represents a fundamental reshaping of the event’s demographics.

Prior to 2024, the 100k and 100M distances historically made up just 4.4% of the entrants, but now those premier, qualifier-eligible distances account for a striking 33.0% of the entire field.
The importance of getting the standard to enter Western States can be seen by the breakdown of runners above and below the qualifier time. Instead of continuing the bell curve there is a steep dropoff, suggesting that those who were close to missing the standard may have either sped up and snuck under, or chose not to finish. The charts below differentiate the years Sulphur Springs was actually a WS Qualifying race (2024 and 2025) versus the historical finish times mapped against the same hypothetical cutoffs:

A Massive Catchment Area
Why such growth? Because Sulphur Springs serves as the primary qualifier for a massive population center. I did a catchment analysis to see the closest population centers to each Western States qualifying race in North America, and it shows that for millions of people in Ontario, Quebec, and the Northeast US, Sulphur is the closest and most efficient path to Western States.
This analysis was done by retrieving the exact coordinates for the largest population centers in Canada and the US, computing the closest geographical spherical distance (“as the crow flies”) to any Western States qualifying race, and generating a Voronoi diagram based on those closest-race designations.

As we will see in the next section, though an imperfect model, 89% of the finishers at the Sulphur Springs ultra distances in 2025 came from this catchment.
7. The Pull of Sulphur Springs: Where Do Runners Come From?
We know Sulphur Springs serves as a massively important Western States qualifier, but who exactly is showing up to the start line?
By geocoding the participant list, I’ve mapped the actual catchment area of the race. The data reveals that while it is an Ontario institution, its pull reaches across the eastern seaboard of the United States and deep into Quebec.

However, if we look at Geographical Diversity normalized by the sheer size of the event (Unique Cities per 100 Finishers), Sulphur Springs reveals its true nature: it is a massive, hyper-local race. Because it sits right on the doorstep of the Greater Toronto Area, its starting corral is heavily saturated by the local population.

This concentration of local talent has already driven the course records down to highly competitive times year after year. However, as the race continues to build its national prestige as a Western States qualifier—and begins drawing in elite talent from across the country and the US on the same scale as destination races like QMT or UTHC—this race is poised to become absurdly competitive at the front of the pack.
Conclusion
Sulphur Springs 2025 wasn’t just another race; it was a demonstration of what happens when a historic event meets elite performance. It is a juggernaut on the Canadian ultra scene, and the data proves it is only getting faster.
Will 2026 see the 100k course records fall again? The starting gun goes off in May. If you want to test yourself against one of the deepest fields in Canada, it’s time to start training for the Ancaster hills.
